Research

We study foundational questions for machine learning systems. Our style of research is to examine closely a number of things that are taken for granted. We aim for a deep understanding of a small number of things.

Our motivation for research is primarily the "joy of finding things out."  We are not attempting to make algorithms, and we are not trying "beat" anyone else. We really just want to know!  We have no sponsorship from any corporations.

Some particular lines of research are described below.

Information Processing Inequalities

What is information, and how does it transform?

The Style of Reasoning of Machine Learning

What is the style of reasoning of Machine Learning (in the sense that Ian Hacking uses the phrase)

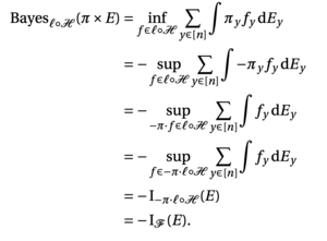
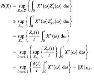
Risk Measures and Imprecise Probabilities

We develop connections between risk measures and the theory of imprecise probabilities.

A Strictly Frequentist Theory of Imprecise Probability

From the Origin of Probability Theory to the Current Problems of Machine Learning

Four Facets of Forecast Felicity

How to evaluate forecasts?

A Theory of Data Corruption

What are the consequences of data corruption on learning problems?